0 引言
光正交频分复用(Optical Orthogonal Frequency Di-vision Multiplexing,O-OFDM)技术是近年来出现的一种新型光传输技术,它是将正交频分复用(Orthogonal Fre-quency Division Multiplexing,OFDM)技术用于光纤信道的一种技术。在光纤信道中传输OFDM信号,可以提高频谱的利用率,而且能够很好的抵抗色散和各种噪声干扰,有更高传输速率和带宽。然而由于OFDM信号是由多个经过调制的子载波信号叠加而成的,这样就有可能产生较大的峰均比(PAPR),会直接带来传输介质--光纤的非线性效应,主要包括自相位调制(SPM)、互相位调制(XPM)和四波混频(FWM)等。通过研究光纤非线性效应对OFDM信号在光纤中传输的影响,可以获得信号的变化规律,以利于寻找合适的信号补偿方法。
1 光OFDM的基本原理
基本的O-OFDM 系统结构如图1 所示。将原始二进制序列,通过串/并转换映射到N 个并行子载波信道上,此时每一个调制子载波的数据周期扩展为原始序列的N 倍,时延扩展和符号周期的数值比也降低了N 倍。
然后分别对每个子载波信道上的序列进行QAM 调制后,进行傅里叶逆变换IFFT,此时数据频域上的表达式变换到时域上,传输的比特数分别映射为子载波的幅度和相位。然后再将信号进行并/串转换,然后再对信号进行I/Q转换和上频变换,经过马赫曾德调制器后,将电信号转换为光信号,送入光纤中传输。经过光检测,下变频和I/Q 解调后,信号还原为电信号,再经过串/并转换将信号映射到N 个并行子载波信道上,再经过傅里叶变换FFT,将时域上的信号变到频域上,通过QAM解调和并串转换后,信号还原为一个串行输出序列。

2 光OFDM信号在光纤中的传输
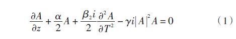
OFDM信号在光纤中传输的模型,可以用非线性薛定谔方程(NLSE)来描述:

式中:A(z,T) 为脉冲包络的慢变振幅;z 是脉冲沿光纤传播的距离;T = t - β1 z,β1 = 1 Vg ,Vg 是群速度;α 是光纤损耗系数;β1,β2 分别为一阶和二阶色散系数;γ 是非线性系数。归一化振幅:U = A(z,T) P0 ,P0 是入射脉冲的峰值功率。此时式(1)可以写成:

由于非线性薛定谔方程一般无法直接求出解析解,所以需要来求数值解。分步傅里叶变换法是其中的一种方法。分布傅里叶变换法的思想就是选定一个光信号传输距离h ,当h 很小的时候,可以分别计算色散和非线性效应对脉冲的影响,得到近似的结果。当光脉冲在光纤中传输了h 2 时,计算色散作用;然后在z + h 2计算非线性作用;当光脉冲继续传输h 2 以后计算色散作用,得到传输距离为h 的近似解。最后综合色散影响的结果和非线性影响的结果,就得到光脉冲信号在光纤中传输距离h 时的近似解。
3 仿真结果及分析
3.1 仿真流程
(1)生成OFDM电信号:设定QAM调制指数和子载波个数,将一个随机序列调制成一个OFDM信号。
(2)调制光源:用上一步得到的OFDM 信号调制光源得到光OFDM信号。
(3)分步傅里叶方法求解:设定光纤信道参数和算法步长,使用分步傅里叶方法解非线性薛定谔方程,仿真光OFDM信号通过光纤的过程,得到经过光纤传输后的信号。
(4)光电检测:进行光电转换,将经过光纤传输后的信号转换为电信号。
(5)信号补偿处理:根据OFDM 信号的参数和光纤的参数,进行相应的信号幅度和相位的补偿,排除光纤的色散和衰减的影响。
(6)OFDM解调:根据OFDM信号的QAM调制指数和子载波个数,对OFDM信号进行解调,恢复原始信号序列。
(7)误码分析:对比发送端的输入序列和接收端的输出序列,分析系统误码特性。
为简化起见,认为其他器件均为理想器件,只考虑光纤对信号的影响。
3.2 仿真结果
3.2.1 误码率的计算
对于一个输入序列,参照流程得到传输后的序列可得出误码特性。通过大量随机产生的输入序列可以统计出信号的峰均比分布,同时统计出在相应峰均比下的误码率,可以得出系统误码率分布和平均系统误码率。
计算方法如下:
记信号的峰均比概率分布记为p(PAPR),相应峰均比下的误码率分布记为BER(PAPR),则系统误码率分布为p(PAPR)* BER(PAPR),系统平均误码率为Σ(p(PAPR)* BER(PAPR))。
采用16QAM调制方式,选取光纤长度Ld=300 km,衰减系数α =0.2 dB/km,光纤二阶色散系数β2 =-30e-27 s2/m,步长h=1 km,初始光功率设定为0.64 mW,传输速度为10 Gb/s,非线性系数γ = 0.1 W-1km-1,子载波数为64个,经多次计算,可得到OFDM 信号峰均比的概率分布(见图2)、误码率随峰均比的分布(见图3)、系统误码率分布(见图4)。此时系统平均误码率为0.001 9.


3.2.2 子载波数的影响分析
在上述光纤参数条件下,传输10 Gb/s,使用16QAM调制可得到8个、32个、64个、256个子载波下接收端的星座图(见图5)、峰均比分布图(见图6)和平均系统误码率随子载波数的变化曲线(见图7)。


可以看出,随着子载波数的增加,系统的性能越来越差,误码率会随之增大。这是由于OFDM 系统中每个OFDM 符号是由多个经过调制的子载波相互叠加而成,当多个子载波被相同相位的信号调制时,叠加后就会产生很大的峰值功率,子载波数越多,叠加越多,信号峰值就会越大,引起的光纤非线性效应就会越强,从而造成误码率越高,使OFDM 系统的性能下降。
3.2.3 QAM调制方式的影响分析
参数为光纤长度Ld =300 km,衰减系数α =0.2 dB/km,光纤二阶色散系数β2 =-30e-27 s2/m,步长h =1 km,初始光功率设定为0.64 mW,传输速度为10 Gb/s,子载波数为64 个,非线性系数γ = 0.01 W-1km-1 时,可得使用16QAM,64QAM,256QAM 调制时系统平均误码率随QAM调制数的变化曲线,如图8所示。

可以看出随着QAM 调制的指数越来越高,系统平均误码率越来越高。这是因为QAM 调制数越高,信号序列会被划分的更精细,对光纤的非线性效应造成的影响会更敏感。
4 结语
正交频分复用信号在光纤中传输会受光纤非线性效应影响。分析OFDM 信号在光纤中传输所受光纤非线性影响,有助于系统性能的改善。利用分步傅里叶方法求解OFDM信号传输的非线性薛定谔方程,分析光纤非线性效应对光纤中OFDM 信号的影响。计算结果表明,在光纤衰减系数、一阶色散系数、光纤非线性系数一定的情况下,系统的误码率随着子载波数的增加而增加。而随着QAM调制方式的更加精细,系统对光纤非线性也越来越敏感。可以看出在使用光纤传输OFDM信号时,调制一个合适子载波数的OFDM信号和选择一个合适的QAM调制方式,对于整个系统来说是关键因素。
APP下载
登录





热门文章




