摘要:介绍现今最流行的单片射频收发芯片nRF24E1与具有相关运算功能的特殊芯片TMC2023的性能特点;阐述信号处理当中的相关运算理论,并将该理论与以上述两个芯片为核心的电路结合,用于汽车防撞系统当中,增强汽车防撞系统的能力。
引 言
随着时代的发展,社会的进步,越来越多的汽车进入了普通人的家庭。尽管公路条件在不断改进,仍然避免不了公路上汽车拥挤的现状,再加上车速逐渐提高,恶***通事故无时无刻不在发生,给人们和社会带来了巨大的生命与财产损失。
图1
汽车防撞系统是一种可向司机预先发出视听告警信号的探测装置。它通常安装在汽车上,能探测企图接近车身的行人、车辆或周围障碍物;能向司机及乘员提前发出即将发生撞车危险的信号,促使司机甚至撇开司机采取应急措施来应付特殊险情,避免损失。当前,尽管各国都在研究防碰撞系统,但怎样才能更好地解决虚警的问题,始终困扰着相关工作者。国际上的研究者通过大量的实验研究,已经达成共识,防撞系统若想有效地解决上述问题,必须使其具有如下功能,即:
① 必须具备测角能力。目标的方位角信息对于去除虚警是必不可少的。
② 设计出易于产生、抗干扰性能强的复杂发射信号,配合实时高效的信号处理和目标检测算法,以去除虚警。
只有以上两点紧密结合起来,才能保证汽车防碰撞系统的可靠性。
1 芯片特点介绍
(1)相关运算芯片TMC2032
TMC2032是一种新型的全数字相关器电路,其相关字长和相关门限可编程。该芯片是由美国TRW公司近年推出的单片64位CMOS全数字相关大规模集成电路。其内部有3个独立时钟的八位移位寄存器:随机数据寄存器A、本地码寄存器B和屏蔽码寄存器M;1个七位BCD编码输出,并与预置的门限值在比较器中比较。若相关值大于或等于门限值,则标志位由低变高。由于采用了先进的高CMOS生产工艺,并行相关速率高达30Mbps以上;可广泛用于同步、匹配滤波、误码检测、记录及条形码识别等,尤其适合雷达信号的识别。
(2)射频收发芯片nRF24E1
nRF24E1是一种工作频率可达到2.4GHz的无线射频收发芯片。内部嵌有与8051兼容的微处理器和10位9输入的A/D转换器,可以在1.9~3.6V之间的电压下稳定工作。其内部还有电压调整器和VDD电压监视,通道形状时间小于200μs,数据速率1Mbps,不需要外接SAW滤波器。nRF24E1是目前世界首次推出的全球2.4GHz通用的,完整低成本射频系统级芯片。无线收发部分有与nRF2401同样的功能。该功能由外部并行口和外部SPI启动,每一个待发信号对于处理器来讲都可以作为中断来编程,或者通过GPIO端口实现。nRF24E1是一个可以在世界公用的频段范围(2.4~2.5GHz)内实现无线通信的芯片。收发机包含1个完全集成的分频器、放大器、调节器和2个收发单元。输出能量、频段和其它射频参数,可通过射频寄存器方便地编程调节。在发送模式下,电流消耗只有10.5mA;在接收模式下,只有18mA,所以功耗相当低。
2 系统结构
整套信息采集系统由5套射频发射与接收装置组成,每套发射与接收部分的基本电路都是一致的。图1是射频收发的核心电路。这5 套收发系统又与DSP中央处理器相连。中央处理器负责计算它们传过来的数据,然后由其根据实际情况作出决策。
每套发射与接收装置的结构如图1所示。首先,由以nRF24E1为核心的射频发射电路发出高频电磁波,在发出之前,由相关运算芯片TMC2032送来的调制信号对其进行调制,从而产生出与其它射频收发单元不同的射频信号,为接收做好充分准备。为了使电磁波信号能够有足够远的传播距离,还需要对调制后的信号进行放大,完成这个功能的电路就是功放电路。最后,把这样的一个信号传向空中。
当发出去的电磁波遇到障碍物返回时,首先要经过相关运算芯片TMC2032进行识别:若是同组发射部分发出去的,则接收,并把这个信号进一步传给射频接收部分。接收芯片通过这样的电磁波在空中传播而产生的相位移,计算出其传播所耗的时间,再计算出障碍物与该组收发部分的距离。最后,把这个距离信息送给中央处理器。中央处理单片机要同时对5 组射频收发单元传过来的距离信息作出计算,得知所测的障碍物与车的立体方位距离。到此,障碍物的信息采集工作基本已经做完,剩下的就是把这个综合信息再传给更高级的中央处理器,让其作出最后决策。
3 收发单元的布置方案及计算示例
由于汽车在行驶的过程当中,对于前方的障碍物要能够判断其相对于汽车的空间立体方位,才能把前后、左右、上下的障碍物避开;而后面的则只需判断出其与汽车的前后及左右距离即可。所以采取了车前面安装三个射频收发系统,并且三套收发系统彼此之间呈垂直于水平面的三角形分布;后面的则安装两套射频收发系统,呈水平分布。整个收发系统的安装如图2所示。图3中,给出了用射频收发系统计算障碍物距离的简单过程。
已知由S1、S2、S3、T1、T2、T3所组成的立体障碍物距离计算示意如图3所示。其中A、B、C三点分别代表安装在车头前的三个超声传感器,E点代表障碍物;则EF表示由E点到水平面的距离,FG代表障碍物到车头的距离,AG表示障碍物到车一侧的距离。我们要求的就是EF、FG及AG三个直线。解法如下:
在△ABC中作 BD⊥AC,连接ED、FD,在△ABC中可求


把已知数S1、S2、S3、T1、T2、T3分别代入,可得所求的三个距离值。
4 相关算法
随着射频技术在日常生活中的广泛应用,人们逐渐发现射频测距存在着一定缺陷:①有效作用距离比较短,仅靠提高发射功率来增加测量距离又是很有限的;②测距精度主要取决于回波信号的信噪比,在一定信噪比情况下,仅靠增加前级放大电路的增益来改善测量精度也是非常有限的。为了解决上述问题,此汽车防撞系统设想了基于伪码调制的射频发射与接收系统。
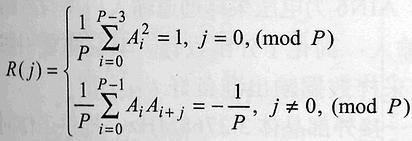
随机过程是白噪声,其瞬时值服从高斯分布(正态分布)。它的功率谱密度在很宽的频带内是均匀的,而且自相关函数具有δ函数的形状。伪随机码虽然仅有2个电平,但却具有类似白噪声的相关特性,只是其幅度概率分布不再服从高斯分布。所以,可以用伪随机序列的平衡特性、游程特性和相关特性等来描述伪随机码。伪随机编码是用逻辑运算实现的,信号的自相关函数满足:

可见,当P足够大时,自相关系数具有尖锐的二电平特性,接近δ函数。在基于伪随机码超声波测距中,正是利用伪码自相关函数的尖锐特性来测量发射码和接收码之间的延时,从而提高测量精度。m序列伪随机码是由线性移位寄存器产生的、周期最长的一种序列。由于其相关特性优良,又便于产生,所以得到了广泛的应用。
根据相关函数定义,设2个时间函数X1(t)、X2(t),则
![]()
称为X1(t)的自相关函数;

称为X1(t)和X2(t)的互相关函数。
在信号检测理论中有两类问题:一类是检测信号,即根据接收到的混合信号(信号加噪声或纯噪声)作出有无信号的判断;另一类是估计参量,即在已检测出有无信号的基础上,对信号的某些参量(例如振幅、相位、频率、脉冲幅度等)或波形作出估计。为了提高抗干扰性,需要寻求在干扰条件下对信号的最佳接收方法。由于周期性信号的相关函数仍是周期函数,而干扰噪声的相关函数则是δ函数。根据这些差别,可利用相关器检出混在噪声干扰中的周期性信号。这种利用时域特性上的差别来检测信号的方法称为相关接收法。根据参考信号不同,又分为自相关接收法和互相关接收法。自相关接收法是在无法确知输入波形(或数据)的情况下,利用自相关器对之作自相关函数的运算;互相关接收法是可以确定参考信号的情况下,利用相关器对输入波形(或数据)与本地信号作互相关函数的运算。本设计中参考信号是本地码,所以采用互相关接收法。在射频测距系统中,不仅要对回波信号有无进行检测,同时还要对回波信号和发射信号的延时进行精确的测量。这样才能准确地知道无线电波传播所用的时间,进而算出障碍物与车之间的距离。
5 总 结
本文成功地运用了先进的射频技术与稳定可靠的相关算法,使汽车具有较强的防撞能力。上述总体设计方案,在实验小车上已经实现,并且在一定程度上能够解决前面所述的汽车防撞系统中始终困扰着相关工作者的两个关键问题。即已经具备了较灵敏的测角能力和较强的抗干扰能力,这样就能够使汽车具有较强的防撞能力。尽管如此,因为汽车行驶过程当中关系着人的生命安全,所以其性能还有待进一步提高,以增强整个系统的绝对安全性,进而对之进行推广。
『本文转载自网络,版权归原作者所有,如有侵权请联系删除』
热门文章
更多